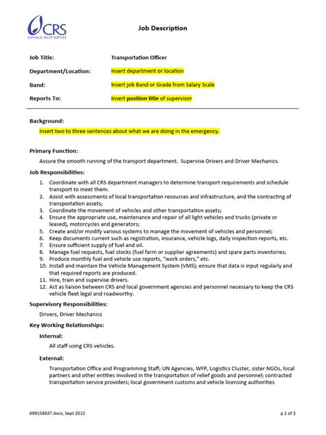
Transport Officer Job Description Guide
Transport Officer Job Description Guide
Hey guys! Ever wondered what it takes to be a Transport Officer ? It’s a pretty crucial role, honestly, keeping the wheels of logistics and movement turning smoothly. Whether it’s for a company, a government agency, or even a non-profit, these pros are the backbone of efficient transportation operations. So, what exactly does a transport officer job description entail? Let’s dive deep and break it all down for you.
Table of Contents
- Understanding the Core Responsibilities of a Transport Officer
- Planning and Scheduling Transportation
- Managing Fleet Operations
- Ensuring Compliance and Safety Standards
- Budget Management and Cost Control
- Key Skills and Qualifications for Transport Officers
- Education and Experience
- Essential Skills
- The Impact and Importance of Transport Officers
- Ensuring Smooth Supply Chains
- Contributing to Economic Growth
- Maintaining Public Safety and Environmental Standards
- Career Path and Opportunities
Understanding the Core Responsibilities of a Transport Officer
At its heart, a transport officer job description is all about managing and coordinating the movement of goods or people. This isn’t just about booking a few trucks or scheduling a bus route; it’s a complex dance of planning, execution, and oversight. Transport officers are the maestros of logistics, ensuring that everything arrives on time, within budget, and in the safest possible condition. They often work behind the scenes, but their impact is huge. Think about it: no deliveries, no commuting, no supply chains – chaos, right? That’s where our transport officers come in, making sure the magic happens.
Planning and Scheduling Transportation
One of the primary duties of a transport officer is meticulous transportation planning and scheduling . This involves understanding the needs of the organization and then mapping out the most efficient routes, modes of transport, and timelines. Guys, this isn’t as simple as it sounds! It requires a keen eye for detail, an understanding of geography, and a solid grasp of logistics software and tools. They need to consider factors like traffic patterns, weather conditions, vehicle availability, driver schedules, and, of course, cost-effectiveness. For instance, a company might need to ship goods across the country. The transport officer needs to decide whether it’s best to use trucks, trains, or even air freight, weighing the pros and cons of each in terms of speed, cost, and capacity. They also have to factor in potential delays and build in contingency plans. If a shipment is time-sensitive, like perishable goods or critical components for a manufacturing process, the scheduling becomes even more intense. It’s a real puzzle they’re putting together , ensuring all the pieces fit perfectly to avoid costly errors or missed deadlines. The ability to forecast demand and anticipate potential disruptions is a hallmark of a great transport officer.
Managing Fleet Operations
Another massive chunk of a transport officer job description involves managing fleet operations . This means overseeing the vehicles themselves – whether it’s a fleet of delivery vans, company cars, or heavy-duty trucks. It’s like being a parent to a bunch of vehicles! They’re responsible for ensuring that all vehicles are well-maintained, safe, and compliant with all relevant regulations. This includes scheduling regular maintenance, handling repairs, keeping track of mileage, and ensuring that vehicles are properly insured and licensed. They might also be involved in the procurement of new vehicles or the disposal of old ones. Safety is paramount here; they need to ensure drivers are trained, follow safety protocols, and that the vehicles themselves meet all safety standards. Think about the logistics of a large trucking company – dozens, maybe hundreds of vehicles on the road. The transport officer has to keep tabs on all of them, ensuring they’re roadworthy and driven by competent professionals. They might use GPS tracking systems to monitor vehicle location, speed, and driver behavior, which not only helps with efficiency but also with safety and security. This aspect really requires a blend of mechanical knowledge, administrative skill, and a strong commitment to safety standards. They’re the ones making sure the fleet is always ready to roll and performing at its best.
Ensuring Compliance and Safety Standards
Compliance and safety are non-negotiable aspects of a transport officer job description . Seriously, guys, this is where lives and livelihoods are on the line. Transport officers must ensure that all transportation activities adhere to local, national, and international laws and regulations. This includes rules regarding driver hours, vehicle weight limits, hazardous material transportation, emissions standards, and licensing. They need to stay updated on any changes in legislation that might affect operations. Developing and implementing safety policies and procedures is also a key responsibility. This could involve training programs for drivers, protocols for handling accidents, and regular safety audits. Imagine the consequences if hazardous materials aren’t transported correctly! It’s a huge responsibility. They need to maintain detailed records and documentation to prove compliance during inspections. This might also involve working with regulatory bodies and responding to any queries or issues they raise. The goal is always to create a transportation environment that is as safe and secure as possible for everyone involved , from the drivers to the public. This often requires a deep understanding of legal frameworks and a proactive approach to risk management.
Budget Management and Cost Control
A significant part of being a transport officer is managing the budget and controlling costs . Nobody likes seeing money go down the drain, right? They are responsible for developing and managing the transportation budget, which can be substantial. This involves monitoring expenses related to fuel, maintenance, driver salaries, insurance, tolls, and more. The goal is to operate efficiently and find ways to reduce costs without compromising safety or service quality. This might involve negotiating contracts with suppliers, optimizing routes to reduce mileage and fuel consumption, or implementing fuel-efficient practices. They’re always looking for ways to make the transportation dollar stretch further. Analyzing spending patterns and identifying areas for improvement is crucial. For example, they might analyze fuel costs and implement strategies to reduce consumption, or they might renegotiate insurance policies to get better rates. They also need to track the return on investment for various transportation methods and technologies. Being a good money manager here means big savings for the company. They often prepare financial reports and present them to management, outlining expenditures and cost-saving initiatives. It’s a constant balancing act between operational needs and financial constraints.
Key Skills and Qualifications for Transport Officers
So, what kind of person thrives in this role? The transport officer job description often calls for a specific set of skills and qualifications. It’s not just about knowing how to drive; it’s about leadership, problem-solving, and strategic thinking.
Education and Experience
Typically, a transport officer role requires a bachelor’s degree in logistics, supply chain management, business administration, or a related field. However, guys, experience can often substitute for formal education. Many employers look for candidates with several years of experience in the transportation or logistics industry. This hands-on experience can provide invaluable insights into the day-to-day challenges and best practices of the field. Certifications in supply chain management or logistics can also be a major plus, demonstrating a commitment to professional development. Think of it as building your resume brick by brick. The more relevant experience you have, the more attractive you’ll be to potential employers. Entry-level positions might be available for those with less experience, often as assistants or coordinators, which can serve as a stepping stone to a full transport officer role. It’s all about starting somewhere and learning the ropes.
Essential Skills
Beyond formal qualifications, certain essential skills are critical for a transport officer. Problem-solving is huge, guys! You need to be able to think on your feet and come up with solutions when things go wrong – and trust me, things will go wrong in logistics. Strong organizational and planning skills are obviously a must, given the nature of the job. Communication is key, too. You’ll be interacting with drivers, suppliers, customers, and management, so clear and effective communication is vital. Leadership skills are important as you’ll often be guiding a team or influencing operational decisions. Proficiency with transportation management software (TMS) and other relevant technology is also increasingly important. And let’s not forget attention to detail. Missing a small detail can lead to big problems in transportation. Basically, you need to be a jack-of-all-trades with a knack for keeping things moving efficiently and safely.
The Impact and Importance of Transport Officers
The role of a transport officer is far more impactful than many realize. They are the unsung heroes of commerce and daily life. Their work ensures that businesses can operate, goods can reach consumers, and people can get where they need to go. Without efficient transportation, economies would grind to a halt. Think about your online orders, guys. They wouldn’t arrive without dedicated transport officers ensuring smooth delivery. They play a vital role in supply chain management, ensuring that raw materials reach manufacturers and finished products reach retailers. This ripple effect extends to almost every industry imaginable. From healthcare, where medical supplies need to be delivered reliably, to agriculture, where produce must reach markets, the transport officer’s role is indispensable.
Ensuring Smooth Supply Chains
A transport officer’s main goal is to ensure the smooth functioning of supply chains . This is where the magic happens, folks! They coordinate the movement of goods from origin to destination, managing all the complexities involved. This includes everything from sourcing carriers and negotiating rates to tracking shipments and resolving any issues that arise along the way. A well-oiled supply chain means happy customers and a profitable business. They are the linchpins that connect producers to consumers, ensuring that products are available when and where they are needed. Imagine a world without reliable deliveries – it’s not pretty. Their efforts directly contribute to customer satisfaction and the overall efficiency of a business. It’s a critical role that underpins modern commerce.
Contributing to Economic Growth
Transport officers are instrumental in fostering economic growth . Seriously, these guys are economic drivers! Efficient transportation networks reduce the cost of doing business, making it easier for companies to compete and expand. By getting goods moved quickly and affordably, they help businesses thrive. This can lead to job creation, increased trade, and overall economic prosperity. Think of them as the grease in the wheels of the economy. They facilitate the movement of goods and services, enabling markets to function effectively. Their work is fundamental to a strong and healthy economy.
Maintaining Public Safety and Environmental Standards
Beyond the business aspects, transport officers also play a key role in maintaining public safety and environmental standards . This is a responsibility we can’t take lightly, guys. By enforcing safety regulations and promoting best practices, they help prevent accidents and reduce the risk of injuries. They’re keeping roads safer for everyone. Furthermore, many transport officers are involved in initiatives to reduce the environmental impact of transportation, such as promoting fuel efficiency and exploring greener logistics solutions. This commitment to sustainability is crucial for our planet. Their dedication helps create a safer and more sustainable world for all of us.
Career Path and Opportunities
The career path for a transport officer can be quite rewarding . It’s a field with plenty of room to grow, guys! Starting in an entry-level position, one can progress to become a senior transport officer, a logistics manager, or even a director of transportation. Opportunities exist in a wide range of industries, including manufacturing, retail, healthcare, government, and third-party logistics (3PL) providers. The demand for skilled transport professionals is consistently high , making it a stable and promising career choice. So, if you’re looking for a dynamic and essential career, this might be the perfect fit for you! The skills you develop as a transport officer are highly transferable, opening doors to various roles within the broader supply chain and operations management fields. It’s a career that offers both challenges and significant opportunities for advancement.